| Invoice # | Customer / Recipient Name | Customer / Recipient Email | Customer / Recipient Phone Number | Customer / Recipient Address | Customer / Recipient Installation Address | Company Name | Company Phone | Company Email | Rebate Status | Rebate Expiration | Safety Inspection Date | Purchase/Invoice Date | Type of Installation | How many rebates would you like to claim? | Total | Installation Type | Appliance Type | Brand | Model # | Serial Number | Installation Date | Upload Receipt | Upload Receipt | Appliance Type | Brand | Model # | Serial Number | Installation Date | Upload Receipt | Upload Receipt | Appliance Type | Brand | Model # | Serial Number | Installation Date | Upload Receipt | Upload Receipt | Appliance Type | Model # | Brand | Serial Number | Installation Date | Upload Receipt | Upload Receipt | Appliance Type | Model # | Brand | Serial Number | Installation Date | Upload Receipt | Upload Receipt | Upload Proof of Purchase: | Name of Builder/Contractor | Upload Spec Sheet for Manufactured Home | Total | Total | |||||||
|---|---|---|---|---|---|---|---|---|---|---|---|---|---|---|---|---|---|---|---|---|---|---|---|---|---|---|---|---|---|---|---|---|---|---|---|---|---|---|---|---|---|---|---|---|---|---|---|---|---|---|---|---|---|---|---|---|---|---|---|---|---|---|---|
| 2025-10512933 | Karen Smith | Email hidden; Javascript is required. | (336) 260-5624 | 5125 george miles rd burlington, North Carolina 27217 Map It | 5125 george miles rd burlington, North Carolina 27217 Map It | Berico Fuels | (336) 273-8663 | Email hidden; Javascript is required. | Payment Sent | 07/10/2025 | 07/10/2025 | Replacement or New Appliance | 1 | $400.00 | Replacement Installation | Furnace ($400.00) | american standard | A5PG3036A1070AA | 25191600FA | 07/10/2025 | k-smith.pdf | k-smith1.pdf | $400.00 | 400 | |||||||||||||||||||||||||||||||||||||||
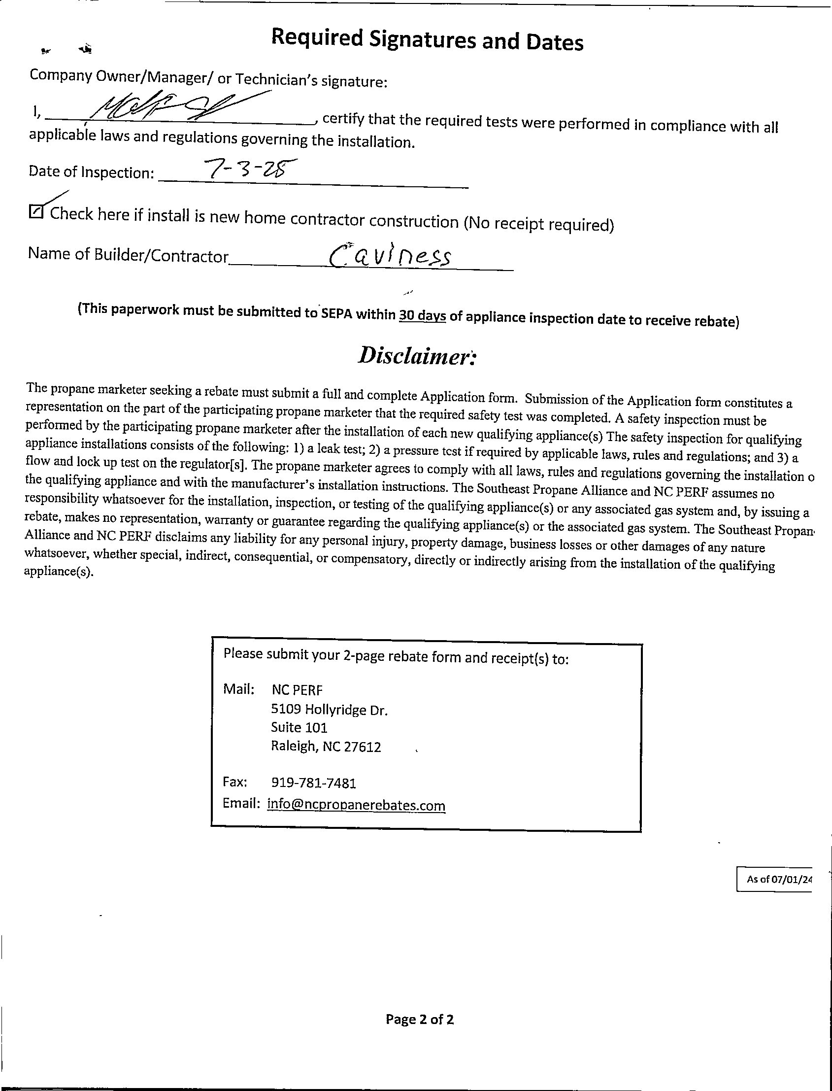
| 2025-93776958 | eric drum | Email hidden; Javascript is required. | (704) 747-8445 | 800 WINDS WAY ABERDEEN, North Carolina 28315 Map It | 800 WINDS WAY ABERDEEN, North Carolina 28315 Map It | McNeill Oil and Propane | (910) 944-2329 | Email hidden; Javascript is required. | Payment Sent | 07/03/2025 | 07/01/2025 | New Construction | 1 | $50.00 | Cook Top/Range ($50.00) | FRIGIDAIRE | FCCG3027AS | 1F43191054 | 07/03/2025 | CAVINESS | $50.00 | 50 | |||||||||||||||||||||||||||||||||||||||||
| 2025-47387440 | Karen Creamer | Email hidden; Javascript is required. | (925) 262-7408 | 546 Cedar Grove Road Pittsboro, North Carolina 27312 Map It | 546 Cedar Grove Road Pittsboro, North Carolina 27312 Map It | Hunter Oil & Propane | (919) 775-5651 | Email hidden; Javascript is required. | Payment Sent | 07/26/2025 | 07/24/2025 | Replacement or New Appliance | 1 | $400.00 | Replacement Installation | Furnace ($400.00) | Trane | S9X1B08044PSBB | 25205PBEMF | 07/26/2025 | Creamer-rebate-receipt.pdf | Creamer-rebate-receipt1.pdf | $400.00 | 400 | |||||||||||||||||||||||||||||||||||||||
| 2025-11523253 | David Raiford | Email hidden; Javascript is required. | (336) 408-5477 | 5517 McPherson Dr Charlotte, North Carolina 28226 Map It | 189 Annapurna Dr Todd, North Carolina 28684 Map It | Blue Ridge Energy, LLC | (828) 758-4401 | Email hidden; Javascript is required. | Payment Sent | 07/28/2025 | 05/30/2025 | Replacement or New Appliance | 1 | $300.00 | Replacement Installation | Tankless Water Heater ($300.00) | Rinnai | RE180ip | TB.UA-027418 | 07/28/2025 | Cargas-Scan6.pdf | Cargas-Scan7.pdf | $300.00 | 300 | |||||||||||||||||||||||||||||||||||||||
| 2025-56245475 | WADE HART | Email hidden; Javascript is required. | (716) 421-4882 | 295 MERION CIR PINEHURST, North Carolina 28374 Map It | 295 MERION CIR PINEHURST, North Carolina 28374 Map It | McNeill Oil and Propane | (910) 944-2329 | Email hidden; Javascript is required. | Payment Sent | 07/23/2025 | 07/18/2025 | Replacement or New Appliance | 1 | $50.00 | New Installation | Cook Top/Range ($50.00) | GE | EEF600AV2SS | HA1396110 | 07/23/2025 | HART-RECEIPT.pdf | RECEIPT-HART-REBATE.pdf | $50.00 | 50 | |||||||||||||||||||||||||||||||||||||||
| 2025-39840208 | LEE SMITH | (919) 368-9670 | 207 SUNSET ST NEWTON GROVE, North Carolina 28366 Map It | 207 SUNSET ST NEWTON GROVE, North Carolina 28366 Map It | Parker Gas company | (910) 323-8283 | Email hidden; Javascript is required. | Payment Sent | 07/15/2025 | 07/14/2025 | Replacement or New Appliance | 1 | $300.00 | Replacement Installation | Tankless Water Heater ($300.00) | RINNAI | RE199ELP | TC.UA-032575 | 07/15/2025 | LEE-SMITH.pdf | LEE-SMITH1.pdf | $300.00 | 300 | ||||||||||||||||||||||||||||||||||||||||
| 2025-72398409 | WILLIAM & DEBRA CUDDEBACK | Email hidden; Javascript is required. | (508) 509-9931 | 1408 EASTBOURNE DR WILMINGTON, North Carolina 28411 Map It | 1408 EASTBOURNE DR WILMINGTON, North Carolina 28411 Map It | Parker Gas company | (910) 323-8283 | Email hidden; Javascript is required. | Payment Sent | 07/25/2025 | 07/25/2025 | Replacement or New Appliance | 1 | $300.00 | New Installation | Tankless Water Heater ($300.00) | RINNAI | REP199I | SM.UA-178111 | 07/25/2025 | WILLIAM-CUDDEBACK.pdf | WILLIAM-CUDDEBACK1.pdf | $300.00 | 300 | |||||||||||||||||||||||||||||||||||||||
| 2025-60965226 | LARRY MARTIN | (919) 922-3618 | 494 SELAH CHURCH RD GOLDSBORO, North Carolina 27590 Map It | 494 SELAH CHURCH RD GOLDSBORO, North Carolina 27590 Map It | Parker Gas company | (910) 323-8283 | Email hidden; Javascript is required. | Payment Sent | 07/01/2025 | 07/01/2025 | Replacement or New Appliance | 1 | $300.00 | New Installation | Tankless Water Heater ($300.00) | RINNAI | RE160E | SF.UA-078423 | 07/01/2025 | LARRY-MARTIN.pdf | LARRY-MARTIN1.pdf | $300.00 | 300 | ||||||||||||||||||||||||||||||||||||||||
| 2025-52416629 | MARY CAMMILLA LOW | Email hidden; Javascript is required. | (919) 818-0475 | 429 HOWARD STREET LENOIR, North Carolina 28645 Map It | 429 HOWARD STREET LENOIR, North Carolina 28645 Map It | BLOSSMAN GAS AND PROPANE | (828) 682-2118 | Email hidden; Javascript is required. | Payment Sent | 07/01/2025 | 07/01/2025 | New Construction | 1 | $150.00 | Room Heater ($150.00) | RINNAI | FC824 | RA.LB-000608 | 07/01/2025 | low-reabate-info.pdf | BLOSSMAN GAS | $150.00 | 150 | ||||||||||||||||||||||||||||||||||||||||
| 2025-14806660 | WILLIS WILLIAMS | Email hidden; Javascript is required. | (203) 536-5838 | 70 SETTLEMENT WAY MARS HILL, North Carolina 28754 Map It | 4918 DETER ROAD LAKELAND, Florida 33813 Map It | BLOSSMAN GAS AND PROPANE | (828) 682-2118 | Email hidden; Javascript is required. | Payment Sent | 07/25/2025 | 07/22/2025 | New Construction | 2 | $200.00 | Room Heater ($150.00) | RINNAI | FC824P | RALB000599 | 07/25/2025 | WILLIAMS-REBATE.pdf | Cook Top/Range ($50.00) | WHIRLPOOL | WFG550S0LB | RE2010579 | 07/25/2025 | WILLIAMS-REBATE1.pdf | BLOSSMAN GAS | $200.00 | 200 | ||||||||||||||||||||||||||||||||||
| 2025-38996864 | GLEN ELLINGTON | Email hidden; Javascript is required. | (423) 736-3778 | 929 WINTERSTAR BURNSVILLE, North Carolina 28714 Map It | 929 WINTERSTAR BURNSVILLE, North Carolina 28714 Map It | BLOSSMAN GAS AND PROPANE | (828) 682-2118 | Email hidden; Javascript is required. | Payment Sent | 07/28/2025 | 07/18/2025 | Replacement or New Appliance | 1 | $600.00 | New Installation | RINNAI | RE160IP | TD.UA-047312 | 07/28/2025 | glen-ellington-rebate-info.pdf | glen-ellington-rebate-info1.pdf | $600.00 | 600 | ||||||||||||||||||||||||||||||||||||||||
| 2025-27260798 | ZOE ROTHFUSS | Email hidden; Javascript is required. | (919) 717-6588 | 82 SUNCREST DR MARS HILL, North Carolina 28754 Map It | 82 SUNCREST DR MARS HILL, North Carolina 28754 Map It | BLOSSMAN GAS AND PROPANE | (828) 682-2118 | Email hidden; Javascript is required. | Payment Sent | 07/03/2025 | 07/03/2025 | New Construction | 1 | $600.00 | RINNAI | RX160IN | SL.BA-189212 | 07/03/2025 | ROTHFUSS-REBATE-PAPERWORK.pdf | BLOSSMAN GAS | $600.00 | 600 | |||||||||||||||||||||||||||||||||||||||||
| 2025-10241777 | TERRY PERRIN | Email hidden; Javascript is required. | (305) 302-0003 | 408 GRACE WAY GREEN MOUNTAIN, North Carolina 28740 Map It | 10 EDGEWATER DR 14A MIAMI, Florida 33133 Map It | BLOSSMAN GAS AND PROPANE | (828) 682-2118 | Email hidden; Javascript is required. | Payment Sent | 07/22/2025 | 07/22/2025 | New Construction | 1 | $600.00 | RINNAI | RSC199IN | PD.BA-074241 | 07/22/2025 | Terry-Perrin-tanklss-rebate-paperwork.pdf | BLOSSMAN GAS | $600.00 | 600 | |||||||||||||||||||||||||||||||||||||||||
| 2025-19622773 | JUDY GOODWIN | Email hidden; Javascript is required. | (828) 964-9076 | 111 BOONE STREET BURNSVILLE, North Carolina 28714 Map It | 111 BOONE STREET BURNSVILLE, North Carolina 28714 Map It | BLOSSMAN GAS AND PROPANE | (828) 682-2118 | Email hidden; Javascript is required. | Payment Sent | 07/28/2025 | 07/21/2025 | New Construction | 1 | $300.00 | Tankless Water Heater ($300.00) | RINNAI | RX130IN | SE.BA-079620 | 07/28/2025 | JUDY-GOODWIN-REBATE.pdf | BLOSSMAN GAS | $300.00 | 300 | ||||||||||||||||||||||||||||||||||||||||
| 2025-14523067 | SHARON SWEENEY | Email hidden; Javascript is required. | (828) 450-5547 | 71 SUGAR MAPLE DR MILLS RIVER, North Carolina 28759 Map It | 71 SUGAR MAPLE DR MILLS RIVER, North Carolina 28759 Map It | G & B ENERGY | (828) 891-7371 | Email hidden; Javascript is required. | Payment Sent | 07/25/2025 | 07/25/2025 | Replacement or New Appliance | 1 | $300.00 | Replacement Installation | Tankless Water Heater ($300.00) | RINNAI | RXP199IN | SE.BA-067154 | 07/25/2025 | SWEENEY-REBATE.pdf | SWEENEY-REBATE1.pdf | $300.00 | 300 | |||||||||||||||||||||||||||||||||||||||
| 2025-12495852 | TERRY WILLIAMS | Email hidden; Javascript is required. | (919) 697-5492 | 3 CASTLE BRIDGE CT PINEHURST, North Carolina 28374 Map It | 3 CASTLE BRIDGE CT PINEHURST, North Carolina 28374 Map It | McNeill Oil and Propane | (910) 944-2329 | Email hidden; Javascript is required. | Payment Sent | 07/29/2025 | 11/25/2024 | New Construction | 1 | $50.00 | Cook Top/Range ($50.00) | FRIGIDAIRE | PCF63670AF | SM42500034 | 04/14/2025 | WILLIAMS-REBATE2.pdf | HUNTLEY DESIGN BUILD / LEE FORBIS | $50.00 | 50 | ||||||||||||||||||||||||||||||||||||||||
| 2025-90658552 | Brenda Simpson | (336) 366-0784 | 2111 Murray Rd State Road, North Carolina 28676 Map It | 2111 Murray Rd State Road, North Carolina 28676 Map It | G & B Energy | (336) 835-3607 | Email hidden; Javascript is required. | Payment Sent | 07/16/2025 | 07/16/2025 | Replacement or New Appliance | 1 | $600.00 | New Installation | Rinnai | RL75ip | pg.ca-107586 | 07/16/2025 | BRNB42200A94A58_003395.pdf | BRNB42200A94A58_0033951.pdf | $600.00 | 600 | |||||||||||||||||||||||||||||||||||||||||
| 2025-66015210 | RYAN BUXMAN | Email hidden; Javascript is required. | (828) 747-1843 | 1695 BRUCE RD MARS HILL, North Carolina 28754 Map It | 1695 BRUCE RD MARS HILL, North Carolina 28754 Map It | BLOSSMAN GAS AND PROPANE | (828) 682-2118 | Email hidden; Javascript is required. | Payment Sent | 07/30/2025 | 07/16/2025 | Replacement or New Appliance | 1 | $600.00 | Replacement Installation | RINNAI | RE160IP | TC.UA-044603 | 07/16/2025 | RYAN-BUXMAN-REBATE-PAPERWORK.pdf | RYAN-BUXMAN-REBATE-PAPERWORK1.pdf | $600.00 | 600 | ||||||||||||||||||||||||||||||||||||||||
| 2025-82797402 | John T Moore | Email hidden; Javascript is required. | (336) 982-7442 | 123 Bradford Ct Jefferson, North Carolina 28640 Map It | 123 Bradford Ct Jefferson, North Carolina 28640 Map It | Blue Ridge Energy, LLC | (828) 758-4401 | Email hidden; Javascript is required. | Payment Sent | 07/28/2025 | 06/06/2025 | Replacement or New Appliance | 2 | $600.00 | Replacement Installation | Tankless Water Heater ($300.00) | Rinnai | REP199I | PJ.UA-075932 | 07/28/2025 | Cargas-Scan8.pdf | Tankless Water Heater ($300.00) | RINNAI | REP199i | PJ.UA-080644 | 07/28/2025 | Cargas-Scan9.pdf | Cargas-Scan10.pdf | $600.00 | 600 | |||||||||||||||||||||||||||||||||
| 2025-93386324 | Kenneth Cox | Email hidden; Javascript is required. | (336) 329-7974 | 1157 Major Hill Rd Snow Camp, North Carolina 27349 Map It | 1157 Major Hill Rd Snow Camp, North Carolina 27349 Map It | Payne Oil | (336) 578-0404 | Email hidden; Javascript is required. | Payment Sent | 07/30/2025 | 07/30/2025 | Replacement or New Appliance | 1 | $400.00 | Replacement Installation | Furnace ($400.00) | Trane | 5ycc4036a1070a | 25291283fa | 07/30/2025 | Ken-Cox-Invoice-52743564.pdf | Ken-Cox-Invoice-527435641.pdf | $400.00 | 400 | |||||||||||||||||||||||||||||||||||||||
| 2025-10210270 | JEFF PHILLIPS | Email hidden; Javascript is required. | (828) 479-8714 | 56 AIRPORT ROAD ROBBINSVILLE, North Carolina 28771 Map It | 56 AIRPORT ROAD ROBBINSVILLE, North Carolina 28771 Map It | Superior Plus Propane | (864) 582-5475 | Email hidden; Javascript is required. | Payment Sent | 07/30/2025 | 07/17/2025 | Replacement or New Appliance | 1 | $300.00 | New Installation | Tankless Water Heater ($300.00) | Rinnai | RE140IP | TB.UA-020254 | 07/30/2025 | JEFF-PHILLIPS-RECEIPT.pdf | JEFF-PHILLIPS-RECEIPT1.pdf | $300.00 | 300 | |||||||||||||||||||||||||||||||||||||||
| 2025-10158614 | James Trivette | (336) 620-3727 | 169 Cheyenne Lane West Jefferson, North Carolina 28694 Map It | 169 Cheyenne Lane West Jefferson, North Carolina 28694 Map It | Blue Ridge Energy, LLC | (828) 758-4401 | Email hidden; Javascript is required. | Payment Sent | 07/01/2025 | 06/11/2025 | Replacement or New Appliance | 1 | $300.00 | Replacement Installation | Tankless Water Heater ($300.00) | Rinnai | RE160i | TB.UA-028693 | 07/01/2025 | Cargas-Scan11.pdf | Cargas-Scan12.pdf | $300.00 | 300 | ||||||||||||||||||||||||||||||||||||||||
| 2025-13903698 | ETHAN BLACKWELDER | Email hidden; Javascript is required. | (704) 929-2390 | 145 SADDLEWOOD LN. STATESVILLE, North Carolina 28625 Map It | 145 SADDLEWOOD LN. STATESVILLE, North Carolina 28625 Map It | BLOSSMAN GAS INC | (704) 871-1085 | Email hidden; Javascript is required. | Payment Sent | 07/24/2025 | 07/24/2025 | Replacement or New Appliance | 1 | $300.00 | New Installation | Tankless Water Heater ($300.00) | RINNAI | RE180IP | SH.UA-127094 | 07/24/2025 | Ethan-Blackwelder-Invoice.pdf | Ethan-Blackwelder-Invoice1.pdf | $300.00 | 300 | |||||||||||||||||||||||||||||||||||||||
| 2025-31734964 | BILL THOMAS | Email hidden; Javascript is required. | (804) 307-0837 | 107 LEESBURG LN. TROUTMAN, North Carolina 28166 Map It | 107 LEESBURG LN. TROUTMAN, North Carolina 28166 Map It | BLOSSMAN GAS INC | (704) 871-1085 | Email hidden; Javascript is required. | Payment Sent | 07/25/2025 | 07/25/2025 | Replacement or New Appliance | 1 | $300.00 | Replacement Installation | Tankless Water Heater ($300.00) | RINNAI | RXP199IN | 21TD.BA-178844 | 07/25/2025 | $300.00 | 300 | |||||||||||||||||||||||||||||||||||||||||
| 2025-15087387 | BRIAN DURNO | Email hidden; Javascript is required. | (617) 470-0853 | 115 LADYBUG COURT STATESVILLE, North Carolina 28625 Map It | 115 LADYBUG COURT STATESVILLE, North Carolina 28625 Map It | BLOSSMAN GAS INC | (704) 871-1085 | Email hidden; Javascript is required. | Payment Sent | 07/29/2025 | 07/29/2025 | Replacement or New Appliance | 1 | $50.00 | Replacement Installation | Cook Top/Range ($50.00) | WHIRLPOOL | WGG745S0FS | DE1905865 | 07/29/2025 | Brian-Durno-Invoice.pdf | Brian-Durno-Invoice1.pdf | $50.00 | 50 | |||||||||||||||||||||||||||||||||||||||
| Invoice # | Customer / Recipient Name | Customer / Recipient Email | Customer / Recipient Phone Number | Customer / Recipient Address | Customer / Recipient Installation Address | Company Name | Company Phone | Company Email | Rebate Status | Rebate Expiration | Safety Inspection Date | Purchase/Invoice Date | Type of Installation | How many rebates would you like to claim? | Total | Installation Type | Appliance Type | Brand | Model # | Serial Number | Installation Date | Upload Receipt | Upload Receipt | Appliance Type | Brand | Model # | Serial Number | Installation Date | Upload Receipt | Upload Receipt | Appliance Type | Brand | Model # | Serial Number | Installation Date | Upload Receipt | Upload Receipt | Appliance Type | Model # | Brand | Serial Number | Installation Date | Upload Receipt | Upload Receipt | Appliance Type | Model # | Brand | Serial Number | Installation Date | Upload Receipt | Upload Receipt | Upload Proof of Purchase: | Name of Builder/Contractor | Upload Spec Sheet for Manufactured Home | Total | Total |


